赌·博老虎机
学校赌·博老虎机
|
书记院长信箱
|
十大网络赌·博老虎机排名 官方邮箱
十大网络赌·博老虎机排名
赌·博老虎机概况
机构设置
现任领导
行政机构
书记院长信箱
十大网络赌·博老虎机排名 官方邮箱
本科生教育
研究生教育
专业与导师介绍
研究生培养
研究生管理
研究生活动
荣休(原)导师
教学科研
师资力量
科研信息
资料下载
科研团队
党团建设
组织设置
党建活动
团委工作
学习教育
招生就业
研究生
本科生
学术预告
十大网络赌·博老虎机排名
>
通知公告
>
正文
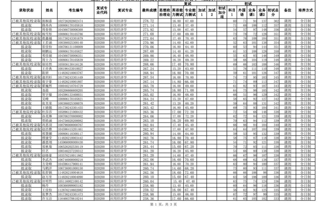
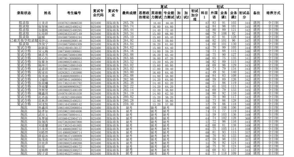
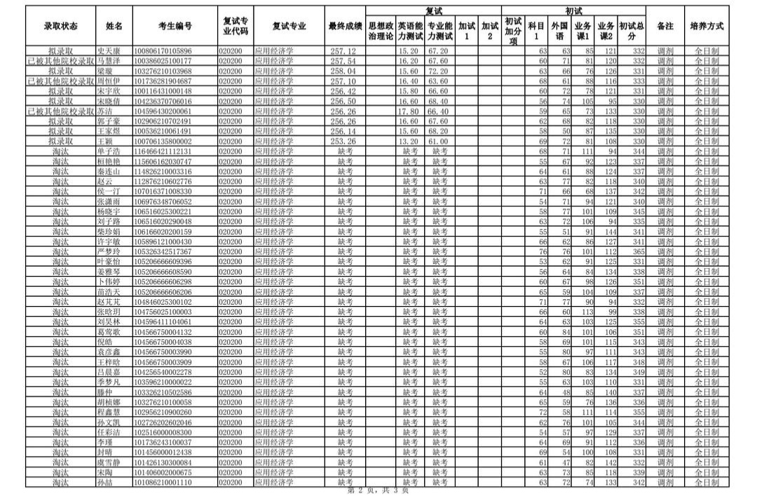
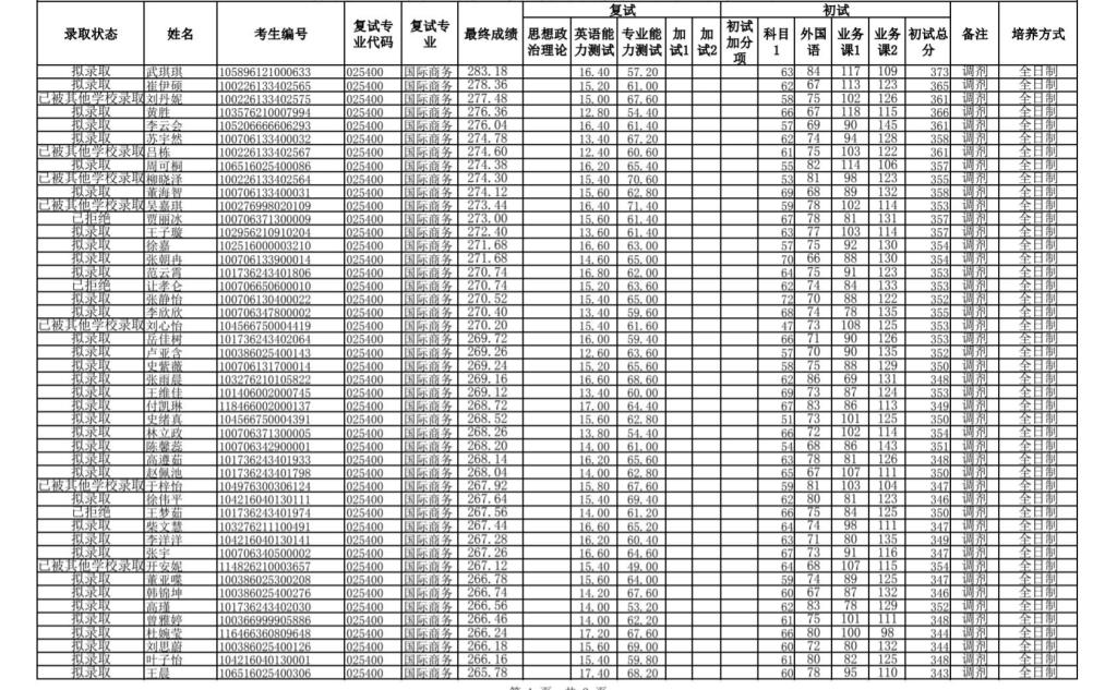
十大网络赌·博老虎机排名 2026年硕士研究生复试结果及拟录取名单(批次调剂1批)
作者: 时间:2026-04-10 点击数:
上一篇:
理论经济学专业2026年调剂复试(二批)考生名单
下一篇:
国际商务专业2026年调剂复试(一批)考生名单
友情链接
/LINK
版权所有 十大网络赌·博老虎机排名 地址:河北省石家庄市学府路47号河北经贸大学 邮编:050061